Automation & Integration(自動化・統合化)
ワークフロー構築
pSevenの設計プロセスは、データ駆動型アプローチによって定義された特定の実行順序と条件を持つ計算のシーケンスとして表現されます。
これをワークフローと呼びます。ブロック、リンク、グローバルパラメータで構成され、計算順序を直感的かつ視覚的に定義することができます。
pSevenのワークフローエンジンは、複数のサードパーティ製ソフトウェア製品を1つのチェーンに統合するシンプルなものから、マルチレベルかつマルチフィデリティな学際的最適化タスクまで、あらゆるレベルのエンジニアリング問題の複雑性に対処することが可能です。

外部ソフトウェアの統合
pSevenはベンダーニュートラルなプラットフォームであるため、エンジニアは自社で使用しているあらゆるCAD/CAEソフトウェアパッケージを単一のワークフローに統合し、ファイルやデータ交換を自動化することで無駄な繰り返しの作業を省くことができるのです。

pSevenのワークフローには、2種類の統合ブロックがあります。
- Generic Integration - コマンドラインインターフェイスを使用して統合することができます。直接統合ブロックよりも柔軟性が高いが、スクリプトや手動でのコマンド入力が必要な場合が多い。
- Direct Intergration - プログラム固有のブロックであり、設定が簡単です。
Generic Integration
特定の、珍しい、または社内のソフトウェアを統合する必要がある場合、汎用統合アプローチは便利です。直接統合ブロックよりも柔軟性がありますが、多くの場合、使用するソフトウェアに固有のコマンドを手動で入力する必要があります。このアプローチは、入出力ファイルの交換を基本とし、最新のCAD/CAEソフトウェアの大半がデフォルトで提供するコマンドラインインターフェイスを使用します。

SCSK取扱製品との連携実績例
Direct Integration
pSevenのDirect Intergrationブロックは、特定の外部ソフトウェアの実行を管理し、入出力パラメータやファイルの転送を処理するために使用されます。これらのブロックは簡単に設定でき、ソフトウェアのコマンドライン・インターフェイスに関する特別な知識は必要ありません。

pSevenは、一般的な主要CAD/CAEシステム、および一般的なエンジニアリング・パッケージとの連携をサポートしています。
- SolidWorks
- Solid Edge
- PTC Creo
- Siemens NX
- CATIA
- ANSA
- Kompas-3D
- ANSYS Workbench
- FloEFD
- STAR-CCM+
- FMI models
- Excel など
リモート実行・HPC
pSevenでは、CAD/CAEのリモート実行が可能です。
- pSeven Agent(スタンドアロン・アプリケーション)
- リモートのLinuxマシンへのSSH接続
- HPCサーバー上のSlurm、LSF、Torqueとのダイレクトインターフェース
Design Exploration(設計空間探索)
なぜ設計空間探索を実施するのか
設計空間探索機能により、様々な設計案を検討し、最適なソリューションを簡単に見つけることができます。pSevenは設計の課題を解決しながら、実験計画法の設定、設計最適化の組み込み、不確かさの定量化(UQ)の実行など手法を瞬時に切り替えることができます。
設計空間探索で次のことを実現します。
- モデルの信頼性を高める
- 設計の選択肢の検討
- トレードオフの検討
- ボトルネックの発見
- モデルの特定
- 目標の設定

DoE(実験計画法)
実験計画法(DoE)とは、設計空間を探索するため、あるいは、できるだけ少ない観測値を用いてモデルの挙動についてできるだけ多くの情報を得るために、モデルの入力値を選択することである。DoEは、信頼性の高いサロゲートベース最適化(SBO)の実行やサロゲートモデル(予測モデル)構築のための学習データサンプルを生成するためにも使用できます。
モデルの挙動は、次元、サイズ、滑らかさ、ノイズ性などが大きく異なる場合があり、利用可能なモデル評価回数には限りがあることが多いです。pSevenではこのようなモデルをより効果的に探索するために、既知のバッチアルゴリズムや独自の適応的探索手法など、様々な手法を提供しています。

設計最適化
設計最適化とは、調査対象の製品や製造プロセスの解析モデルやシミュレーションモデルの性能を最適化する入力パラメータの値を求めるプロセスです。最終的には、以下のような問いに答えることになります。
- 製品やプロセスの特性を改善するにはどうしたらよいか?
- どの入力パラメータの組み合わせが最適か?
- 入力パラメータのばらつきが製品やプロセスの全体的な挙動に与える影響を小さくするには?
pSevenは、1つまたは複数のモデルの目的関数を様々な制約条件下で最適化するための、独自開発の手法・アルゴリズムを提供します。解析モデルの評価時間が短い設計最適化問題や、計算機資源のシミュレーションが高価な問題を効率的に解決するなど状況に応じて適切な手法を適用できます。
pSevenでは、最適化アルゴリズムの内部パラメータを調整する面倒な作業の代わりに、モデルの基本特性を設定するだけで、設定に基づいて特定の設計最適化アルゴリズムを自動的かつ適応的に選択するSmartSelection機能を提供します。

モデルの同定
モデルの入力パラメータは、例えば減衰係数や散乱係数など、決定が困難または不可能な場合があります。実験を行うことで解決することもありますが、これらのパラメータを直接求めることができない場合は、より高度な研究が必要です。
このような場合、pSevenのモデル同定(またはデータマッチング)を利用することができます。これは、実験の出力データを収集し、未知の入力パラメータを持つ製品や製造プロセスのシミュレーションモデルまたは解析モデルを作成することです。その後、予測データと実験データの残差チェックを伴う最適化プロセスを設定し、未知の入力パラメータを特定します。このアプローチにより、研究コストを抑え、より信頼性の高いシミュレーションを実現することができます。

UQ(不確かさの定量化)
幅広い業界の専門家が、材料特性や動作条件など、製品の不確実なパラメータがその技術特性や動作特性に与える影響を評価する必要性に直面しています。pSevenの不確かさの定量化(UQ)は、このニーズに対応し、エンジニアが設計製品の品質と信頼性を大幅に向上させ、設計、製造、運用の初期段階で潜在的なリスクを管理することを可能にします。
UQは、入力パラメータの偏差と出力への影響を考慮して、モデル設計点を評価するために使用されます。入力パラメータの不確かさは、実験データ、製造上の制約、ベストプラクティス、または工学的判断に基づき、分布で記述されます。UQプロセスの最も重要な部分は、モデルの評価基準(例えば、故障条件)を定義することです。UQによって分布を得ることができ、モデルの信頼性を評価し、より良い技術的決定を行うことができます。

結果&外部データ分析
pSeven は、外部データの完全な制御と豊富なポスト処理機能を提供します。あらゆる種類の表や統計、相関関係、依存関係、パラレルコーディネート図、2D/3D可視化など、インタラクティブでカスタマイズ可能な総合ツールにより、エンジニアリング結果を可視化し、再利用することができます。

Predictive Modeling(予測モデリング)
予測モデリングとは
予測モデリングは、エンジニアが次のような疑問に答えるための工学的アプローチです。
- 様々な条件下での製品の挙動をどのように予測するか?
- 実験とシミュレーションのデータを一緒に処理するには?
- 膨大なデータサンプルとシミュレーションをより速く利用するには?
予測モデリングは、近似モデル、応答曲面モデル(RSM)、縮小オーダモデル(ROM)、サロゲートモデル、メタモデルなどとも呼ばれる予測モデルの構築、管理、評価に基づいて行われます。
予測モデルは、新たなシミュレーションや実験を行うことなく、機能の応答値や製品設計の挙動を予測するために使用されます。予測モデルの基本は、モデルの応答曲面を記述する複雑な多項式であり、言い換えれば、既存のデータやシミュレーションの代替物(「ブラックボックス」)です。

予測モデルは、膨大な量のデータから必要な知識を便利なフォーマットで取り込み、IP権を保持したままパートナー間で安全にモデルを交換し、複雑なシミュレーションモデルの計算を高速化します。例えばパラメトリック・スタディや最適化スタディに利用することができます。
構築・管理ツール
pSevenには、予測モデルを構築・管理するためのツールが含まれており、pSevenのワークフローから収集したデータと、CSVやExcelファイルからインポートしたデータセットの両方で動作させることが可能です。モデルは、予測値を得るために評価したり、ワークフローに統合することができます。

予測モデリング手法
pSevenは、あらゆる種類のデータから予測モデルを構築するための、業界で実証済みの様々な手法を提供します。
- Piecewise Linear Approximation(PLA)
- 1D Splines with Tension(SPLT)
- Response Surface Model(RSM)
- Tensor Approximation(TA)
- Incomplete Tensor Approximation(iTA)
- Gaussian Processes(GP)
- Sparse Gaussian Process(SGP)
- Tensored Gaussian Processes(TGP)
- Gradient Boosted Regression Trees(GBRT)
- High-Dimensional Approximation(HDA)
- High-Dimensional Approximation Combined with Gaussian Processes(HDAGP)
- Mixture of Approximators(MoA)
- Table Function(TBL)
データフュージョン
データフュージョン機能は、様々な忠実度(multi fidelity)のデータセットを扱うことができます。予測モデル構築のための入力として、高忠実度データセットと低忠実度データセットを使用します。これらのデータセットは、例えば実験データとシミュレーションデータのように、それぞれ高忠実度、低忠実度のソースやモデルを用いて生成されることが想定されています。データフュージョンでは、2つのソースを用いてより正確な予測を行うことで、高価な実験やシミュレーションの回数を削減することができます。

搭載手法
- Difference Approximation(DA)
- Variable Fidelity Gaussian Processes(VFGP)
- Multiple Fidelity Gaussian Process(MFGP)
- Sparse Variable Fidelity Gaussian Processes(SVFGP)
- High-Fidelity Approximation(HFA)
次元削減
複雑な形状は多数のパラメータによって記述されるため、パラメータ化、最適化、可視化を容易にするために,次元を下げることが望まれることが多くあります。例えば、形状が多次元の点の集合として表現されている場合、pSevenは滑らかな超曲面で近似し、圧縮・解凍処理を行うことができます。

モデルエクスポート
製品が複雑になればなるほど、単一の物理または個別の部品のモデリングは、製品全体の信頼性を確保し、市場で最高の製品特性を顧客に提供するのに役立ちません。システム全体の挙動をシミュレーションし、最適化することが、これまで以上に重要になってきています。
すべてのシミュレーションをシステムモデリングソフトウェアに接続するのも一つの方法ですが、一つのモデルの計算に数時間かかると、システムの最適化のための時間がなくなり、最適な特性を見出すことができない場合があります。

高速でロバストな予測モデルは、このニーズに応え、システムシミュレーションを劇的にスピードアップさせます。シミュレーション、分析、実験データからpSevenで作成されたモデルは、システムモデリングソフトウェアなどの外部ソフトウェア製品で使用するためにエクスポートすることができます。pSevenは、様々なフォーマットをサポートしています。
- FMI
- Excel形式
- Matlab/Octave
- Executable
- C など
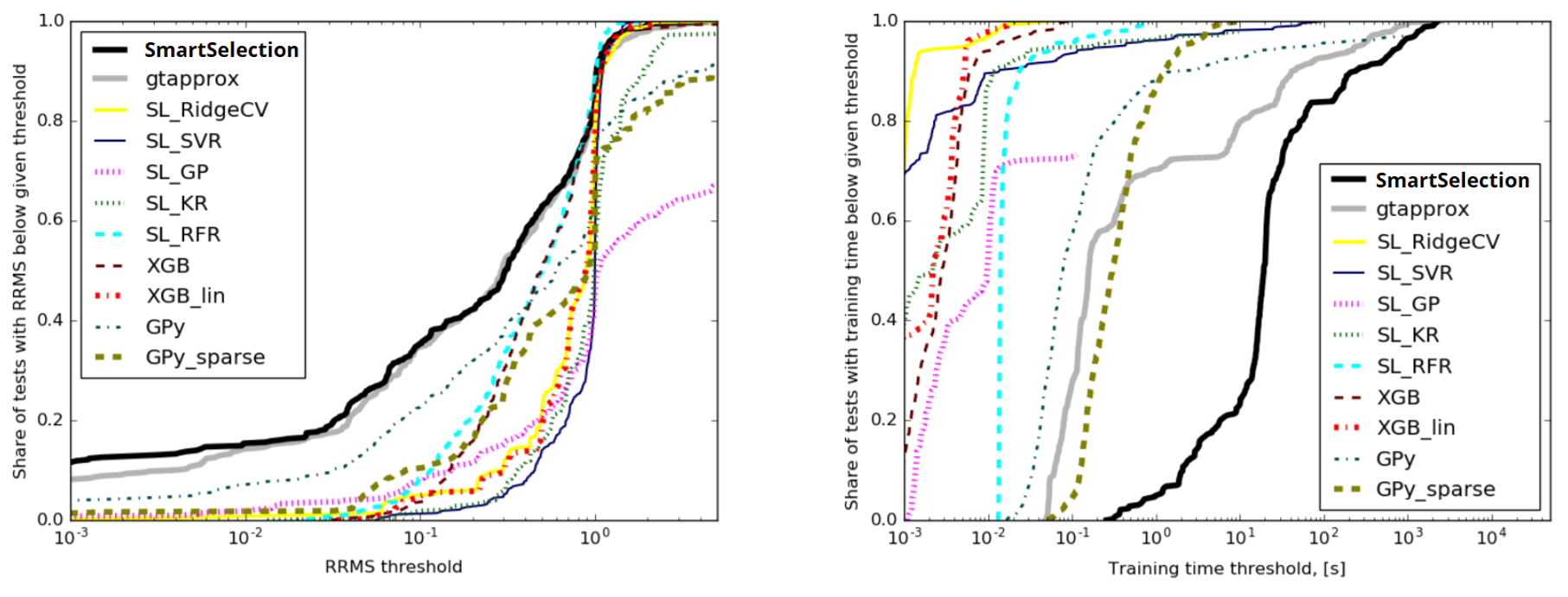
Smart Selection
Smart Selectionとは
設計空間探索と予測モデリングの効率は、適切な手法の選択によって大きく左右されることはよく知られています。最適化アルゴリズムの内部パラメータを調整したり、適切な予測モデリング手法を手動で探したりすることは、多くの時間を消費し、成功にはつながりません。
Smart Selection機能は、pSevenの設計空間探索および予測モデリングのツールに含まれる手法で、与えられた問題とデータの種類に対して最も効率的な解決策を自動的に選択します。Smart Selectionは、ユーザーがエンジニアリングの問題そのものに集中できるように、技術的な複雑さを隠蔽します。これにより、数学の専門家でなくても、設計空間探索と予測モデリングの専門家レベルの数学を利用できるようになります。

例えば予測モデリングにおいて、デフォルトの設定でも、Scikit-learn、XGBoost、GPyなどの有名なオープンアルゴリズムよりも近似品質が高く、短時間で予測モデルを構築することが可能です。

- ※掲載されている製品、会社名、サービス名、ロゴマークなどはすべて各社の商標または登録商標です。
製品・サービスに関する
お問い合わせ・資料請求
ご質問、ご相談、お見積もりなど
お気軽にお問い合わせください。
ソリューション推進部
TEL:03-5859-3012
E-mail:eng-sales@scsk.jp お問い合わせフォーム


